ABOUT ME

-

Today
-
Yesterday
-
Total
-
  • DML
    ML/XAI 2023. 8. 25. 17:59

    ref : https://matheusfacure.github.io/python-causality-handbook/22-Debiased-Orthogonal-Machine-Learning.html#

     

     

    한국에서 아이스크림 가게 사장이라고 하자.

    여름과 겨울에 따라 아이스크림을 찾는 손님이 많이 차이날 것이다.

    그런데, 해외진출을 하게 되서 일년 내내 여름인 나라와 일년 내내 겨울인 나라 등등 여러 환경에서 아이스크림을 팔 수 있게 되었다. 

    그러면 온도에 관계 없이  순수한 가격에 의한 판매량을 알아서 가격을 잘 책정하고 싶다. 

    그런데, 왜 순수한 관계를 알고 싶은거냐? 하면.. 그니까 예를 들어 지금 있는 데이터로 넣어서 온도와 가격으로 못봐? 하면.. 

    예를 들어 온도가 높으면 여름에 사람들이 많이 찾아서 가격을 높게 책정하는 관행이 있었다고 하자. 그러면 온도가 가격에 미치는 영향떄문에 가격이 판매량에 미치는 영향을 제대로 알기 어려울 것이다. 내내 겨울인 나라에 대해서는 제대로 예측을 못하겠지.

     

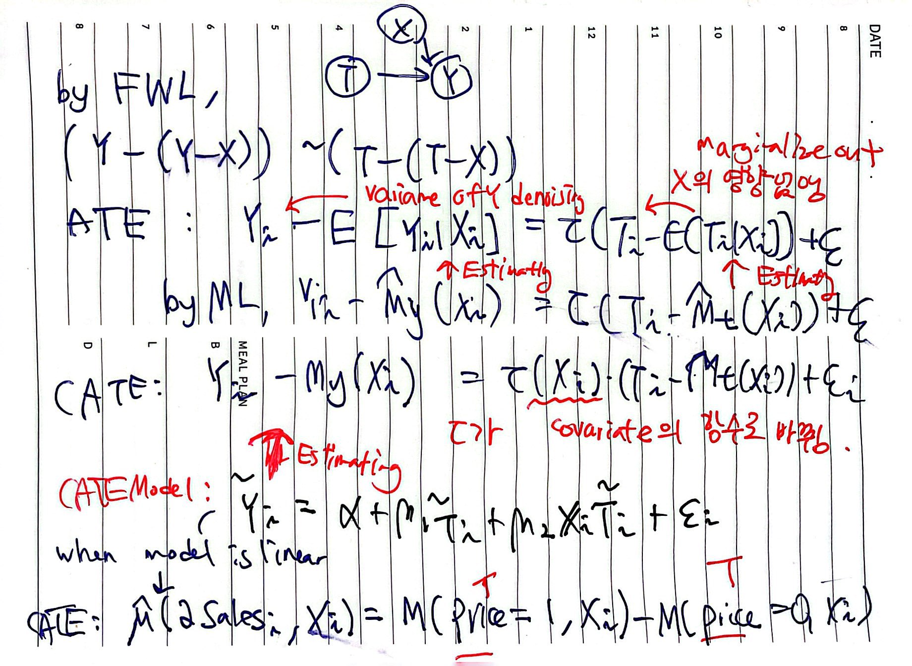
    가격말고 판매량에 영향을 미치는 변수(ex. 온도)등을 제외하고 그 관계를 알 수 있는 모델중 하나가 DML이다.

     

    - dml을 통해 얻을 수 있는 것 : CATE를 추론하여 가격에 의한 판매량 알 수 있음.

    ate vs. cate :  observational data에서 CATE를 추론 할 수 있음

    Ate : 이론적인 treatment effect(rct 하에서)
    Cate : rct 이외에 observational에서도 가능. Covariate 존재할때.. cate 를 구해야하는 듯?

    https://matheusfacure.github.io/python-causality-handbook/22-Debiased-Orthogonal-Machine-Learning.html#cate-estimation-with-double-ml

    https://medium.com/bondata/atecatehte-5b6ee13041d7

     

     

    -  수식정리

    판매량1 = 어쩌구 + ㄱ*(가격 = 백원)+ㄴ(온도.위치)*온도.위치*(가격=백원)

    판매량2 = 어쩌구 + ㄱ*(가격 = 만원)+ㄴ(온도.위치)*온도.위치*(가격=만원)

    판매량3 = 어쩌구 + ㄱ*(가격 = 백원)+ㄴ(온도.위치)*온도.위치*(가격=백원)

    ...

    ㄱ 과 ㄴ(온도.위치) 을 알아내면 된다. 

    ㄴ(온도.위치) = 100* 온도-20*위치(백원일떄 ) +  50* 온도+20*위치(민원일떄 ) 

     

    'ML > XAI' 카테고리의 다른 글

    econml const_marginal_effect  (2) 2023.09.27
    Uplift modeling reference  (0) 2023.09.26
    SHAP sampling  (0) 2023.06.16
    uplift modeling  (0) 2023.04.25
    Causal Impact  (0) 2023.04.18

    댓글

Designed by Tistory.